社团学姐

欢迎访问社团学姐 !

学术动态

学术动态

杨丽敏课题组受邀在《有机化学》三八妇女节专刊发表研究性论文:氮杂环卡宾(NHC)催化[4+3]环加成反应构建4-氨基苯并环庚烯内酯

来源 : 社团学姐      作者 : 社团学姐      时间 : 2023-03-28

       近日,社团学姐 杨丽敏副教授课题组受邀在《有机化学》期刊三八妇女节专刊发表学术论文“N-Heterocyclic Carbene (NHC)-Catalyzed [43] Cycloaddition to Synthesize 4-Aminobenzoheptenolactons ”.

1

    由于有机小分子催化具有反应催化效率选择性好、对环境友好、操作制备相对简单等优点,发展迅速。氮杂卡宾催化剂(NHC)作为众多小分子中的一种,也受到极大的关注。有机合成可以通过NHC催化构建C-CC-NC-O键等。其中氮杂卡宾催化活化羰基化合物的βγ位点也是研究的热点,化学家们也积极的挑战活化这两个较远端的位点。

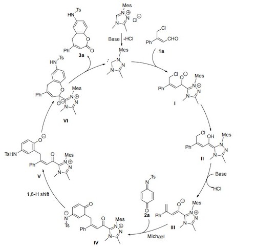
    杨丽敏团队一直致力于发展新颖的NHC催化方法来制备具有潜在生物活性和应用前景的手性化合物。在前期工作基础上,作者设想:NHC对底物的醛基化合物的γ-位点进行活化,生成乙烯基烯醇盐中间体。该中间体与亚胺醌进行反应。机理概述如下:首先,将NHC催化剂亲核添加到γ-氯醛1a中,然后1,2-H从碳迁移到氧,得到Breslow中间体II。然后,Breslow中间体II经历了互变异构化和C-Cl键断裂,烯醇烯酮重排和1,5-H位移,以及由提供烯醇化乙烯酯(二烯)III的碱捕获γ-质子。最后,烯醇化乙烯酯III与对碳-醌基团上的亚氨基醌衍生物2a进行逐步环加成反应,得到4-氨基苯并庚内酯3a并释放NHC催化剂。(图1


2

1.反应机理

      鉴于此,作者通过对手性NHC催化剂,碱和溶剂的一系列筛选,最终确定了苯基取代的γ-氯醛1a20 mol%氮杂环卡宾B的催化下,以醋酸钠(NaOAc)作为碱,在甲苯(Toluene)中,反应48小时,可以以74%的收率,获得目标产物3a(图2)。

3

图2.最优反应条件

       最后,对反应机理研究发现,NHC对底物的醛基化合物的γ-位点进行活化,生成乙烯基烯醇盐中间体。该中间体与亚胺醌进行反应时,存在两个潜在的反应位点(醌的邻位碳和亚胺邻位碳)。为了探究NHC在该反应的位点选择性中所起的作用,作者利用DFT理论进行研究,对四种关键过渡态进行分析,研究表明形变力是导致位点选择差异性的主要原因。(图3

4

图3.DFT计算结果

      硕士生戴春波(社团学姐 )夏思奇(社团学姐 )为论文的共同第一作者,社团学姐 的杨丽敏副教授为论文的通讯作者。该研究工作得到了国家自然科学基金(No. 22271071)和浙江省自然科学基金(No. LY20B020010)资助。改工作受邀发表于2023年《有机化学》期刊三八妇女节专刊。特别感谢上述工作中钟国富教授给予的大力支持和帮助。

5

    杨丽敏,博士,副教授,硕士生导师。2011年在新加坡南洋理工大学获得博士学位。20129月,加入中国社团学姐 。2018-2020年,在美国加州大学洛杉矶分校做访问学者。主要从事手性催化、不对称有机合成方法学及反应机理等领域的基础研究,利用理论计算与有机合成结合的优势,探索有机反应机理,发展有机催化下手性环状化合物的合成新方法。在Nat. Catal., Nat. Chem., J. Am. Chem. Soc., ACS Catal., Org. Lett.Chem. Commun.等国际著名学术期刊上发表SCI论文20余篇, 担任Org. Lett., Org. Chem. Front., Chem. Commun.等国际知名化学期刊审稿人。

     论文链接://sioc-journal.cn/Jwk_yjhx/EN/10.6023/cjoc202301011


版权所有 © 社团学姐-社团学姐在线|社团学姐完整版剧情与视频

地址:中国·杭州·余杭塘路2318号 社团学姐 勤园16、17、18、22号楼

联系电话:0571-28867909

邮箱:chxyzhb@stxuejie.org

邮编:311121

  • 扫码关注微信公众号

版权所有 © 社团学姐-社团学姐在线|社团学姐完整版剧情与视频   浙ICP备11056902号-1

地址:中国·杭州·余杭塘路2318号
邮编:311121
Copyright © 2025 社团学姐
浙ICP备11056902号-1